توضیحات

- باربری


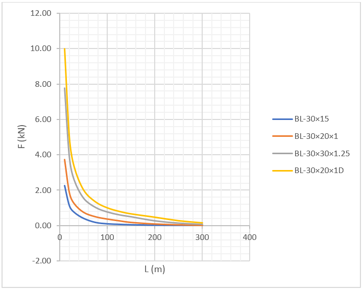
مقایسه باربری پروفیل ها


در نمودار فوق تنش خمشی ماکزیمم با در نظر گرفتن ضرایب کاهنده منظور شده است. همچنین حداکثر خیز مجاز برای تیر دو سر ساده به میزان لحاظ گردیده است. باربری انکرها و پیچها لازم است به طور جداگانه بررسی گردد.

شماره تماس : 4355-4494 (021)
هیچ دیدگاهی برای این محصول نوشته نشده است.